一般卫星轨道是圆形轨道,各轨道平面平均分布,而且轨道平面中的卫星均匀分布时,称这样的星座排布为Walker星座。
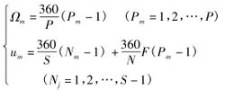
假设一个Walker星座的构型码为:N/P/F(卫星数目/轨道平面数/相位因子),则星座中任意一颗编号为m的卫星的升交点赤经和升交点角距分别为:
式中,S为每个轨道平面上的卫星数,Pm为卫星所在轨道平面的编号,Nm为卫星在轨道平面内的编号。即S=N/P, Pm=m/S+1, Nm=m-(Pm-1)S 。常见的Walker星座有Walker24/3/2星座,即总共24颗卫星,分三个轨道面。
例如GLONASS星座就是Walker星座,而GPS星座就不是Walker星座,后者轨道平面中的卫星不是均匀分布。

