ARMA模型(auto regressive moving average model)自回归滑动平均模型,模型参量法高分辨率谱分析方法之一。这种方法是研究平稳随机过程有理谱的典型方法,适用于很大一类实际问题。它比AR模型法与MA模型法有较精确的谱估计及较优良的谱分辨率性能,但其参数估算比较繁琐。
设一个离散线性系统,输入u(n)是一个具有零均值与方差为σ的白噪声序列,输出是x(n),该离散线性系统输出和输入之间的关系可用如下图1的差分方程来表示。
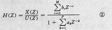
式中X(Z)为输出信号的Z变换,U(Z)为输入信号的Z变换,以①式表达的信号模型称为ARMA模型或称为自回归滑动平均模型。一旦确定了ARMA(P,M)模型的参数,就可得到其功率谱估计。
ARMA模型参数估计的方法很多:
如果模型的输入序列{u(n)}与输出序列{a(n)}均能被测量时,则可以用最小二乘法估计其模型参数,这种估计是线性估计,模型参数能以足够的精度估计出来;
许多谱估计中,仅能得到模型的输出序列{x(n)},这时,参数估计是非线性的,难以求得ARMA模型参数的准确估值。从理论上推出了一些ARMA模型参数的最佳估计方法,但它们存在计算量大和不能保证收敛的缺点。因此工程上提出次最佳方法,即分别估计AR和MA参数,而不像最佳参数估计中那样同时估计AR和MA参数,从而使计算量大大减少。




